Образцы крови более 11 тысяч норвежцев старше 57 лет проанализировали на биомаркер болезни Альцгеймера
Повышение в плазме крови уровня тау-белка, фосфорилированного по треонину-217 (p-tau217), указывает на нейропатологии, связанные с болезнью Альцгеймера (БА). Анализ на этот биомаркер демонстрирует высокую точность, и авторы статьи в Nature впервые описали его применение на обширной выборке. Анализ образцов 11 486 норвежцев старше 57 лет подтвердил известные закономерности — рост распространенности БА-ассоциированных патологий в более старших возрастных группах, неблагоприятное действие аллеля APOE ε4 и защитное действие высшего образования. В то же время частота встречаемости предполагаемой доклинической стадии БА в наиболее «молодых» группах оказалась меньше ожидаемой.
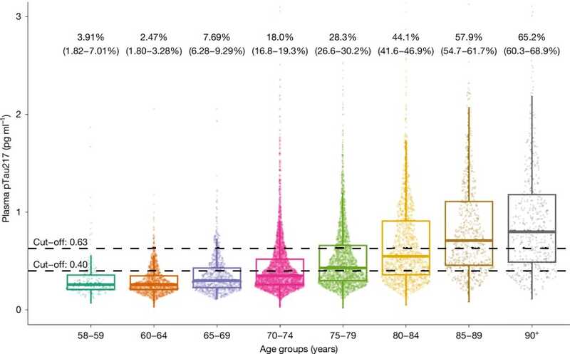
Уровни p-tau217 в различных возрастных группах. Концентрации под нижней пунктирной линией говорят об отсутствии нейропатологии, над верхней пунктирной линией — о ее присутствии.
Credit:
Nature (2025). DOI: 10.1038/s41586-025-09841-y | CC BY 4.0
Нейропатологические изменения, связанные с болезнью Альцгеймера (БА), — основная причина когнитивных нарушений, однако их распространенность остается недоисследованной. Известны биомаркеры крови, которые позволяют выявлять эти изменения, например, тау-белок, фосфорилированный по треонину-217 (p-tau217). Ранее было показано, что он успешно определяет БА у людей с когнитивными нарушениями. Но пока еще такие маркеры не использовались в крупных исследованиях на уровне популяции.
Авторы статьи в Nature исследовали участников крупного норвежского популяционного исследования Trøndelag Health (HUNT). Оно проводится уже четыре десятилетия, причем данные собирают каждые десять лет. Содержание p-tau217 проанализировали в образцах плазмы крови 11 486 участников этого исследования — норвежцев старше 57 лет. Уровень биомаркера измеряли с помощью коммерческого набора ALZpath p-Tau 217 Advantage PLUS (Quanterix) — иммуноанализа с использованием моноклонального антитела к p-tau217. Высокая точность этого теста признана специалистами (подробнее на PCR.NEWS.) Уровни p-tau217 ниже 0,40 пг/мл говорят об отсутствии нейропатологических изменений, а уровни выше 0,63 пг/мл подтверждают их наличие.
Доля людей с предполагаемыми нейропатологиями ожидаемо увеличивалась с возрастом: среди людей 58–69,9 лет она не превышала 8%, среди лиц старше 70 лет составляла уже 33,4%, среди лиц старше 90 лет — 65,2%.
Среди всех участников в возрасте 70 лет и старше у 10% была доклиническая стадия БА, у 10,4% — продромальная (начальная, с неспецифическими симптомами) стадия и у 9,8% — деменция, связанная с БА. Сопоставление этих результатов с когнитивными функциями в данной возрастной группе показало, что неврологические нарушения, связанные с БА, присутствовали у 60% людей с деменцией, у 32,6% лиц с легкими когнитивными нарушениями и у 23,5% лиц без когнитивных нарушений.
В возрастной группе 80–89 лет у мужчин наблюдалась несколько более высокая предполагаемая распространенность БА, чем у женщин, главным образом за счет доклинической и продромальной БА. Ожидаемо, повышенные уровни p-tau217 чаще встречались среди лиц с одним (46,4%) или двумя (64,6%) аллелями APOE ε4, чем среди лиц без этого аллеля (27,1%); реже — среди лиц с высшим образованием.
Таким образом, в очередной раз подтверждено, что распространенность болезни Альцгеймера и связанной с ней деменции неуклонно растет с увеличением возраста. В то же время доклиническая стадия БА в более молодых возрастных группах, возможно, встречается реже, чем предполагалось ранее.
Например, в масштабном исследовании 2023 года были даны следующие оценки. В мире около 32 млн человек с БА-ассоциированной деменцией, около 69 млн человек с продромальной стадией БА и около 315 млн человек с доклинической стадией БА — в общей сложности 416 млн человек на всех стадиях болезни Альцгеймера, или 22% от всех людей в возрасте от 50 лет. Согласно этой работе, в возрастной группе 55–59 лет частота доклинической стадии болезни Альцгеймера, положительной по амилоиду-бета (Aβ), достигает 14,7%. В группе 70–74 лет она составляет 22,4% у мужчин и 22,2 у женщин (в новой работе — соответственно, 7,6% у мужчин и7,9% у женщин).
Авторы новой статьи объясняют это различие тем, что в крупные исследования, как правило, включают относительно небольшие клинические выборки, которые имеют существенные отличия от общей популяции.
Биомаркеры болезни Альцгеймера в плазме крови все чаще используются для оценки возможности назначения данному пациенту новых препаратов против БА, недавно одобренных в ряде стран Европы и США, таких как леканемаб и донанемаб. Авторы исследования отмечают, что среди участников 70 лет и старше около 11% соответствовали критериям назначения. Однако лечение этими препаратами сопряжено со значительными рисками, которые необходимо тщательно сопоставлять с потенциальной пользой для пациента, отмечают авторы.
Биомаркеры болезни Альцгеймера также обнаруживаются в крови пациентов с БАС
Источник
Aarsland, D., et al. Prevalence of Alzheimer’s disease pathology in the community // Nature (2025). DOI: 10.1038/s41586-025-09841-y
Меню
Все темы
0





